ФотобусАвтобусный транспорт

Информация об изображении

247 КБ


Идентификатор изображения:2802586
Размер файла:247 КБ
Автор:the.traveller
Опубликовано:27.01.2022 19:26 MSK
Находится на сайте, дней:1565
Уникальных просмотров:336
Комментариев:0

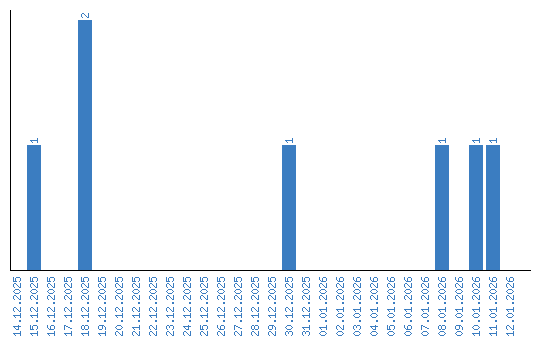
Динамика просмотров по датам