FotobusBusverkehr

Bildinformationen

540 KB


Foto-ID:2781158
Dateigröße:540 KB
Aufgenommen von:Rai
Veröffentlicht am:20.12.2021 17:18 MSK
Tage seit Veröffentlichung:1557
Aufrufe:273
Kommentare:0

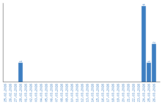
Aufrufestatistik (Tage)