ФотобусАвтобусный транспорт

Информация об изображении

519 КБ


Идентификатор изображения:2776666
Размер файла:519 КБ
Автор:Nikola2000
Опубликовано:11.12.2021 23:54 MSK
Находится на сайте, дней:1390
Уникальных просмотров:300
Комментариев:0

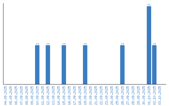
Динамика просмотров по датам