FotobusAutobusų transportas

Nuotraukos informacija

454 KB


Nuotraukos identifikatorius:2756927
Bylos dydis:454 KB
Autorius:BOSS
Publikuota:07.11.2021 19:56 MSK
Yra tinklapyje dienų:1537
Unikalių peržiūrų:203
Komentarų:0

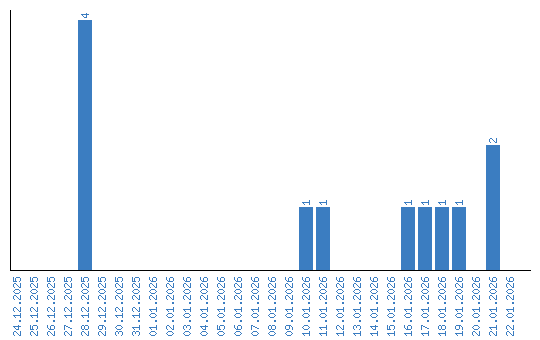
Peržiūrų dinamika pagal dienas