FotobusΜεταφορά με λεωφορείο

Picture Statistics

163 KB


Picture ID:275571
File Size:163 KB
Συγγραφέας:Bimbula
Publication Date:01.06.2010 23:20 MSK
Days in Database:5610
Unique views:336
Comments:0

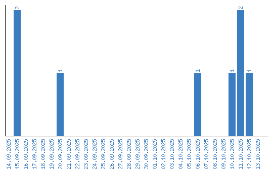
Viewing statistics by date