ФотобусАвтобусный транспорт

Информация об изображении

417 КБ


Идентификатор изображения:2753358
Размер файла:417 КБ
Автор:А. Ким
Опубликовано:04.11.2021 01:55 MSK
Находится на сайте, дней:1579
Уникальных просмотров:237
Комментариев:0

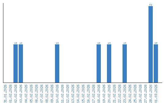
Динамика просмотров по датам