FotobusAutobusų transportas

Nuotraukos informacija

499 KB


Nuotraukos identifikatorius:2750030
Bylos dydis:499 KB
Autorius:VitalikTTL
Publikuota:30.10.2021 20:49 MSK
Yra tinklapyje dienų:1601
Unikalių peržiūrų:323
Komentarų:0

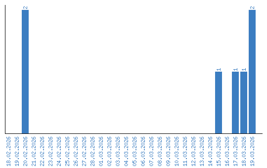
Peržiūrų dinamika pagal dienas