ФотобусАвтобусный транспорт

Информация об изображении

680 КБ


Идентификатор изображения:2747025
Размер файла:680 КБ
Автор:АндрейС
Опубликовано:25.10.2021 10:10 MSK
Находится на сайте, дней:1545
Уникальных просмотров:166
Комментариев:0

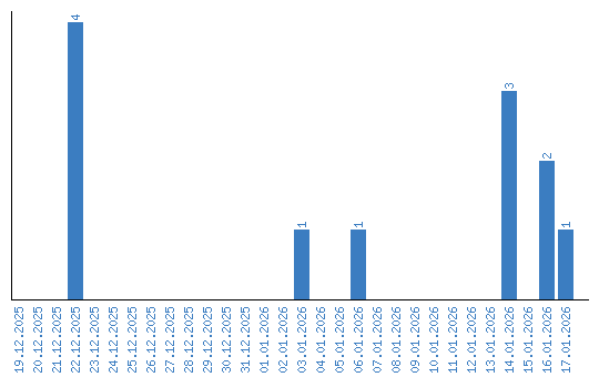
Динамика просмотров по датам