ФотобусАвтобусний транспорт

Статистика по зображенню

477 КБ


Ідентифікатор зображення:2738258
Розмір файлу:477 КБ
Надіслав:reshz
Опубліковано:11.10.2021 17:35 MSK
Знаходиться на сайті, днів:1604
Унікальних переглядів:270
Коментарів:0

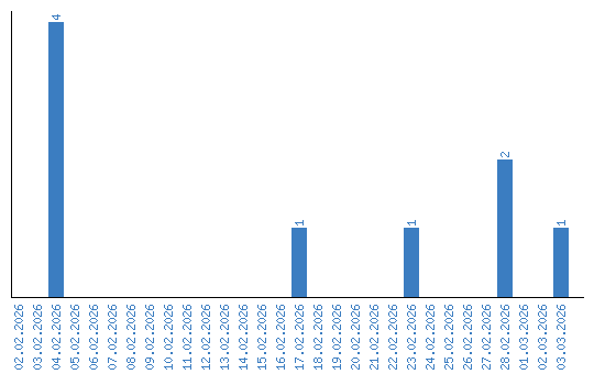
Динаміка переглядів за датами