ФотобусАвтобусный транспорт

Информация об изображении

522 КБ


Идентификатор изображения:2732025
Размер файла:522 КБ
Автор:Андрей55
Опубликовано:03.10.2021 12:08 MSK
Находится на сайте, дней:1590
Уникальных просмотров:701
Комментариев:7

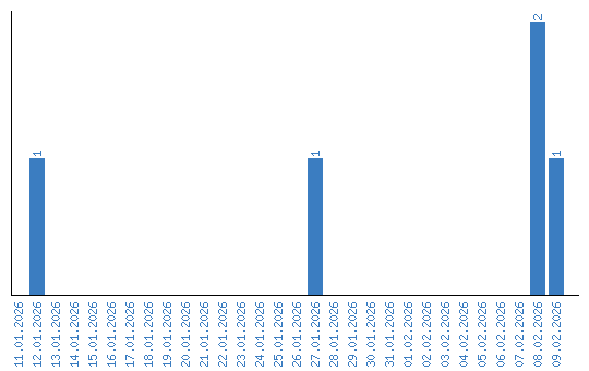
Динамика просмотров по датам