FotobusΜεταφορά με λεωφορείο

Picture Statistics

248 KB


Picture ID:2725670
File Size:248 KB
Συγγραφέας:bolani
Publication Date:24.09.2021 10:46 MSK
Days in Database:1548
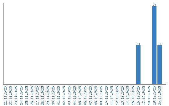
Unique views:250
Comments:0

Viewing statistics by date