FotobusAutobusų transportas

Nuotraukos informacija

522 KB


Nuotraukos identifikatorius:2721994
Bylos dydis:522 KB
Autorius:Alexeum
Publikuota:19.09.2021 12:18 MSK
Yra tinklapyje dienų:1638
Unikalių peržiūrų:308
Komentarų:0

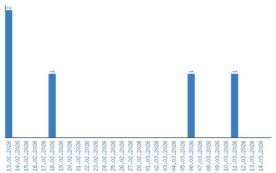
Peržiūrų dinamika pagal dienas