ФотобусАвтобусный транспорт

Информация об изображении

368 КБ


Идентификатор изображения:2720434
Размер файла:368 КБ
Автор:Артурыч
Опубликовано:17.09.2021 15:01 MSK
Находится на сайте, дней:1580
Уникальных просмотров:376
Комментариев:1

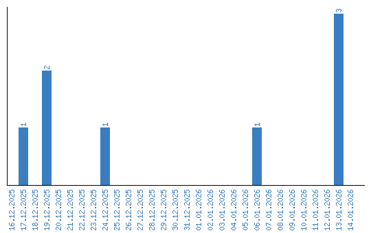
Динамика просмотров по датам