ФотобусАвтобусный транспорт

Информация об изображении

237 КБ


Идентификатор изображения:271728
Размер файла:237 КБ
Автор:16v
Опубликовано:25.05.2010 09:30 MSK
Находится на сайте, дней:5712
Уникальных просмотров:376
Комментариев:0

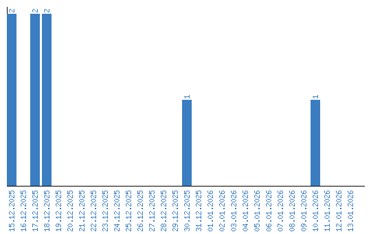
Динамика просмотров по датам