ФотобусАвтобусный транспорт

Информация об изображении

173 КБ


Идентификатор изображения:2714191
Размер файла:173 КБ
Автор:01-06
Опубликовано:08.09.2021 05:36 MSK
Находится на сайте, дней:1648
Уникальных просмотров:369
Комментариев:0

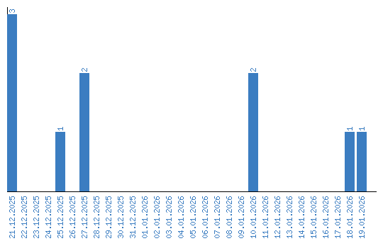
Динамика просмотров по датам