FotobusBus Transport

Picture Statistics

220 KB


Picture ID:2705722
File Size:220 KB
Author:Snite2010
Publication Date:28.08.2021 06:37 MSK
Days in Database:1531
Unique views:227
Comments:0

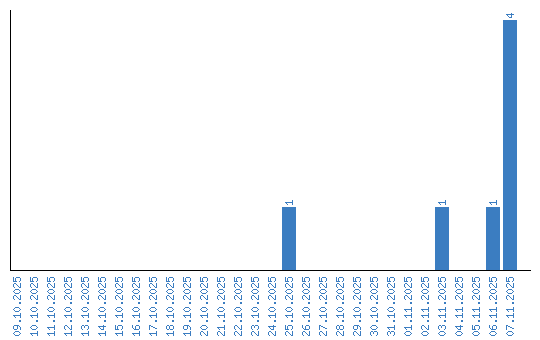
Viewing statistics by date