ФотобусАвтобусный транспорт

Информация об изображении

491 КБ


Идентификатор изображения:2703272
Размер файла:491 КБ
Автор:Abramov_Anton
Опубликовано:24.08.2021 22:20 MSK
Находится на сайте, дней:1589
Уникальных просмотров:341
Комментариев:0

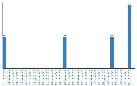
Динамика просмотров по датам