ФотобусАвтобустар галереясы

Информация об изображении

493 КБ


Идентификатор изображения:2702790
Размер файла:493 КБ
Автор:Maxim_MMM
Опубликовано:23.08.2021 22:48 MSK
Находится на сайте, дней:1669
Уникальных просмотров:485
Комментариев:0

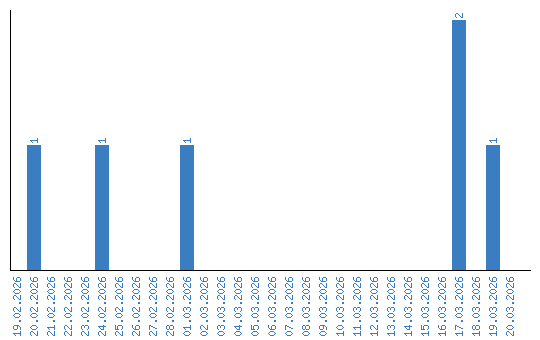
Динамика просмотров по датам