ФотобусАвтобусный транспорт

Информация об изображении

431 КБ


Идентификатор изображения:2702734
Размер файла:431 КБ
Автор:Максим Т
Опубликовано:23.08.2021 22:34 MSK
Находится на сайте, дней:1605
Уникальных просмотров:140
Комментариев:0

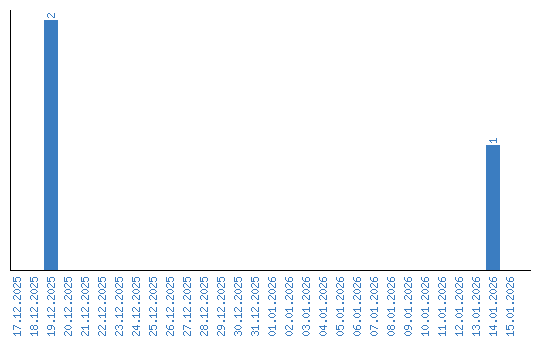
Динамика просмотров по датам