ФотобусАвтобусный транспорт

Информация об изображении

478 КБ


Идентификатор изображения:2697610
Размер файла:478 КБ
Автор:Owanes Cherepowez
Опубликовано:16.08.2021 16:47 MSK
Находится на сайте, дней:1616
Уникальных просмотров:468
Комментариев:0

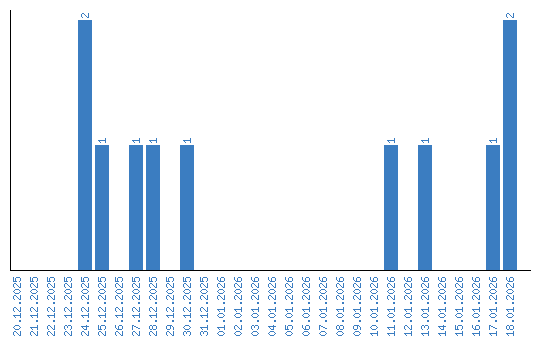
Динамика просмотров по датам