ФотобусАвтобусный транспорт

Информация об изображении

276 КБ


Идентификатор изображения:2696459
Размер файла:276 КБ
Автор:Valeriy
Опубликовано:15.08.2021 01:26 MSK
Находится на сайте, дней:1631
Уникальных просмотров:335
Комментариев:0

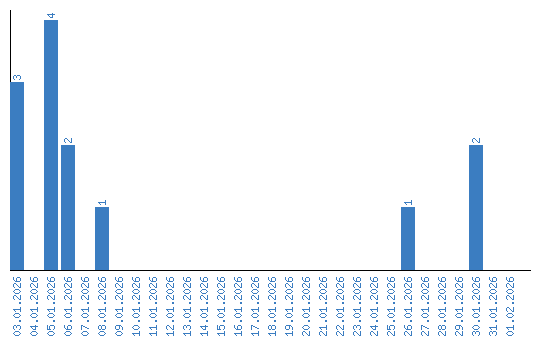
Динамика просмотров по датам