ФотобусАвтобусный транспорт

Информация об изображении

411 КБ


Идентификатор изображения:2694803
Размер файла:411 КБ
Автор:straightcelle
Опубликовано:13.08.2021 00:08 MSK
Находится на сайте, дней:1733
Уникальных просмотров:287
Комментариев:0

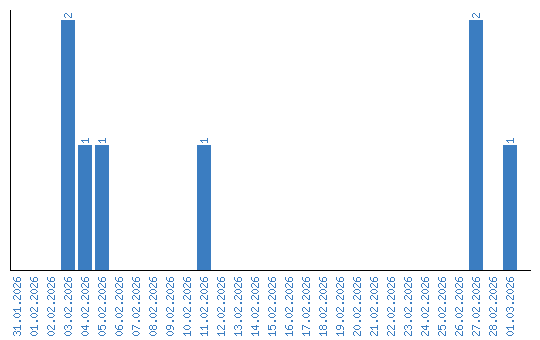
Динамика просмотров по датам