FotobusAutobusa transports

Informācija par attēli

335 KB


Attēla identifikātors:2689721
Faila lielums:335 KB
Autors:Grenadier_Thomas
Ir publicēts:07.08.2021 09:56 MSK
Atrodas vietnē, dienās:1624
Unikāli skatījumi:343
Komentārus:0

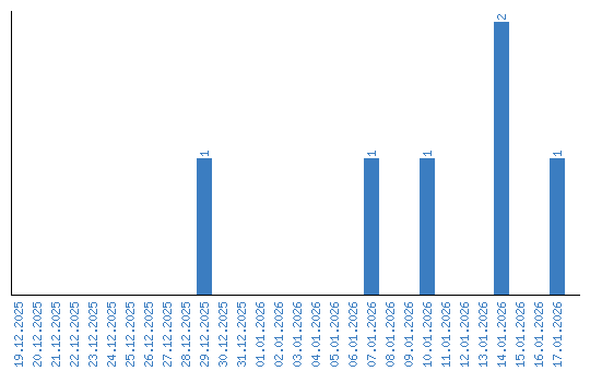
Dinamika skatišana pēc datuma