ФотобусАвтобусный транспорт

Информация об изображении

367 КБ


Идентификатор изображения:2689666
Размер файла:367 КБ
Автор:Артурыч
Опубликовано:07.08.2021 07:36 MSK
Находится на сайте, дней:1702
Уникальных просмотров:238
Комментариев:0

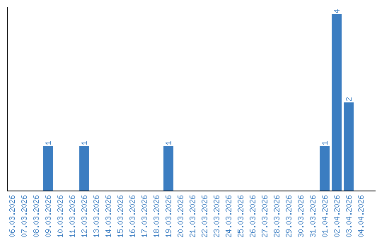
Динамика просмотров по датам