ФотобусАвтобусный транспорт

Информация об изображении

245 КБ


Идентификатор изображения:2679724
Размер файла:245 КБ
Автор:AlexG
Опубликовано:22.07.2021 22:54 MSK
Находится на сайте, дней:1546
Уникальных просмотров:341
Комментариев:0

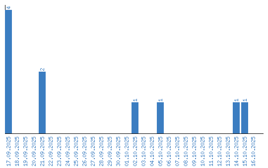
Динамика просмотров по датам