ФотобусАвтобусный транспорт

Информация об изображении

497 КБ


Идентификатор изображения:2679264
Размер файла:497 КБ
Автор:KontaktoMan
Опубликовано:22.07.2021 00:06 MSK
Находится на сайте, дней:1695
Уникальных просмотров:297
Комментариев:0

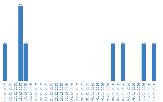
Динамика просмотров по датам