FotobusΜεταφορά με λεωφορείο

Picture Statistics

377 KB


Picture ID:2673275
File Size:377 KB
Συγγραφέας:Nikola2000
Publication Date:13.07.2021 00:45 MSK
Days in Database:1618
Unique views:443
Comments:0

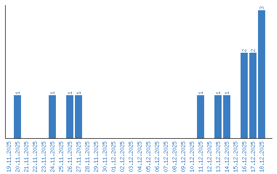
Viewing statistics by date