ФотобусАвтобусный транспорт

Информация об изображении

298 КБ


Идентификатор изображения:2664811
Размер файла:298 КБ
Автор:Денис Рогов
Опубликовано:29.06.2021 23:24 MSK
Находится на сайте, дней:1693
Уникальных просмотров:263
Комментариев:0

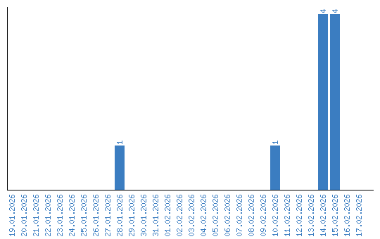
Динамика просмотров по датам