ФотобусАвтобусный транспорт

Информация об изображении

237 КБ


Идентификатор изображения:2663952
Размер файла:237 КБ
Автор:01-06
Опубликовано:28.06.2021 02:56 MSK
Находится на сайте, дней:1693
Уникальных просмотров:201
Комментариев:0

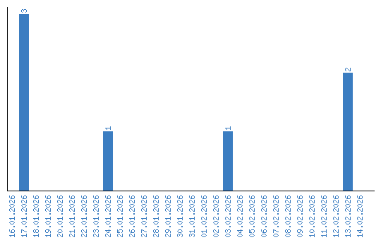
Динамика просмотров по датам