FotobusAutobusų transportas

Nuotraukos informacija

308 KB


Nuotraukos identifikatorius:2662088
Bylos dydis:308 KB
Autorius:hotimsk
Publikuota:23.06.2021 22:38 MSK
Yra tinklapyje dienų:1578
Unikalių peržiūrų:311
Komentarų:0

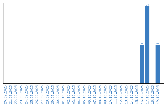
Peržiūrų dinamika pagal dienas