FotobusAutobusa transports

Informācija par attēli

492 KB


Attēla identifikātors:2647197
Faila lielums:492 KB
Autors:Bus_Driver_Paz-3205
Ir publicēts:03.06.2021 12:26 MSK
Atrodas vietnē, dienās:1635
Unikāli skatījumi:502
Komentārus:0

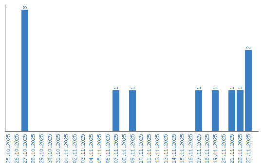
Dinamika skatišana pēc datuma