ФотобусАвтобусный транспорт

Информация об изображении

260 КБ


Идентификатор изображения:2631332
Размер файла:260 КБ
Автор:Manovich
Опубликовано:09.05.2021 23:20 MSK
Находится на сайте, дней:1826
Уникальных просмотров:335
Комментариев:0

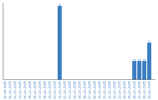
Динамика просмотров по датам