ФотобусАвтобусный транспорт

Информация об изображении

492 КБ


Идентификатор изображения:2629461
Размер файла:492 КБ
Автор:Игорь Косенко
Опубликовано:08.05.2021 01:06 MSK
Находится на сайте, дней:1762
Уникальных просмотров:287
Комментариев:0

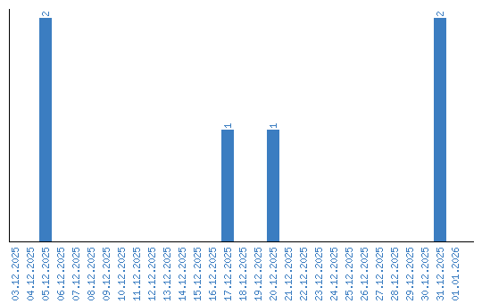
Динамика просмотров по датам