FotobusΜεταφορά με λεωφορείο

Picture Statistics

463 KB


Picture ID:2610406
File Size:463 KB
Συγγραφέας:Сэм
Publication Date:10.04.2021 16:45 MSK
Days in Database:1715
Unique views:326
Comments:0

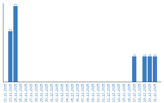
Viewing statistics by date