ФотобусАвтобусный транспорт

Информация об изображении

484 КБ


Идентификатор изображения:2608254
Размер файла:484 КБ
Автор:АндрейС
Опубликовано:06.04.2021 08:23 MSK
Находится на сайте, дней:1862
Уникальных просмотров:430
Комментариев:0

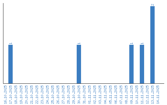
Динамика просмотров по датам