ФотобусАвтобусний транспорт

Статистика по зображенню

283 КБ


Ідентифікатор зображення:2601028
Розмір файлу:283 КБ
Автор:mixkol
Опубліковано:25.03.2021 21:19 MSK
Знаходиться на сайті, днів:1706
Унікальних переглядів:192
Коментарів:0

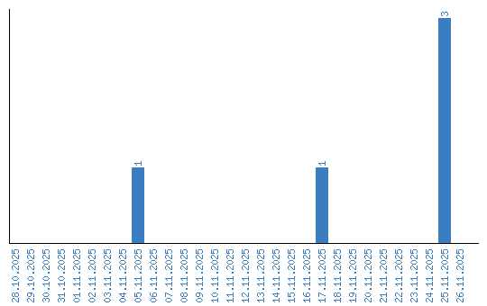
Динаміка переглядів за датами