ФотобусАвтобусный транспорт

Информация об изображении

214 КБ


Идентификатор изображения:2578902
Размер файла:214 КБ
Автор:Vlad A079
Опубликовано:18.02.2021 01:11 MSK
Находится на сайте, дней:1869
Уникальных просмотров:256
Комментариев:1

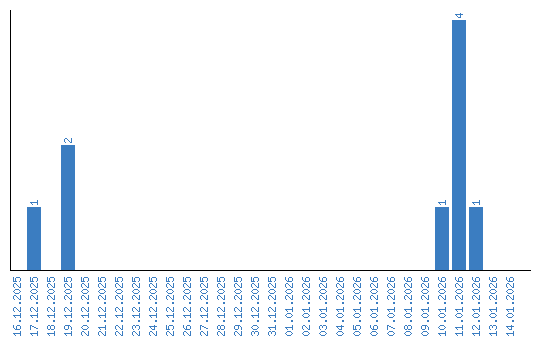
Динамика просмотров по датам