ФотобусАвтобусный транспорт

Информация об изображении

348 КБ


Идентификатор изображения:2575677
Размер файла:348 КБ
Автор:Нурсултан
Опубликовано:13.02.2021 18:42 MSK
Находится на сайте, дней:1854
Уникальных просмотров:439
Комментариев:0

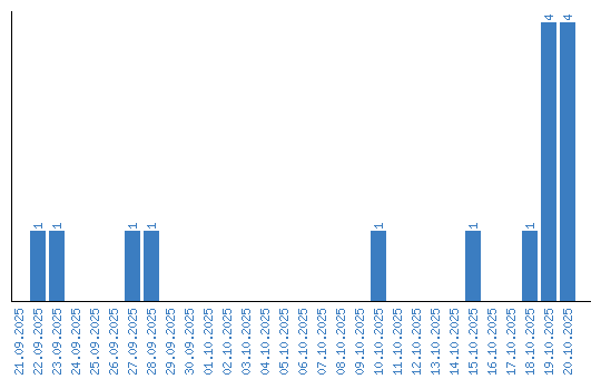
Динамика просмотров по датам