ФотобусАвтобусный транспорт

Информация об изображении

201 КБ


Идентификатор изображения:257403
Размер файла:201 КБ
Автор:ariss_ka
Опубликовано:01.05.2010 10:32 MSK
Находится на сайте, дней:5784
Уникальных просмотров:456
Комментариев:2

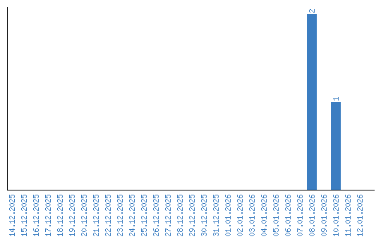
Динамика просмотров по датам