ФотобусАвтобусный транспорт

Информация об изображении

608 КБ


Идентификатор изображения:2572987
Размер файла:608 КБ
Автор:KimB10M
Опубликовано:08.02.2021 17:29 MSK
Находится на сайте, дней:1849
Уникальных просмотров:258
Комментариев:0

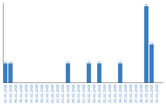
Динамика просмотров по датам