FotobusAutobusų transportas

Nuotraukos informacija

272 KB


Nuotraukos identifikatorius:2571323
Bylos dydis:272 KB
Autorius:Андрей Васильев
Publikuota:05.02.2021 23:16 MSK
Yra tinklapyje dienų:1740
Unikalių peržiūrų:368
Komentarų:3

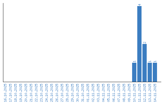
Peržiūrų dinamika pagal dienas