ФотобусАвтобусный транспорт

Информация об изображении

394 КБ


Идентификатор изображения:2548867
Размер файла:394 КБ
Автор:Nikola2000
Опубликовано:28.12.2020 21:14 MSK
Находится на сайте, дней:1935
Уникальных просмотров:366
Комментариев:0

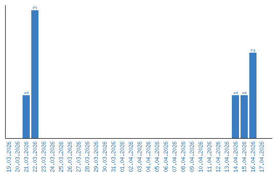
Динамика просмотров по датам