ФотабусАўтобусны транспарт

Iнфармацыя аб малюнку

318 КБ


Ідэнтыфікатар малюнка:2547745
Памер файла:318 КБ
Аўтар:mixkol
Апублікавана:26.12.2020 07:53 MSK
Знаходзіцца на сайце, дзён:1790
Унікальных праглядаў:265
Каментарыяў:0

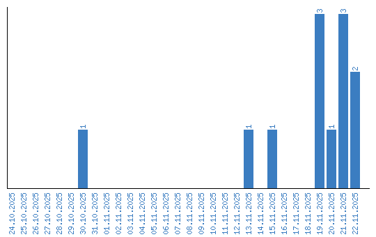
Дынаміка праглядаў па датах