ФотабусАўтобусны транспарт

Iнфармацыя аб малюнку

492 КБ


Ідэнтыфікатар малюнка:2546772
Памер файла:492 КБ
Аўтар:rvr
Апублікавана:23.12.2020 21:45 MSK
Знаходзіцца на сайце, дзён:1930
Унікальных праглядаў:586
Каментарыяў:0

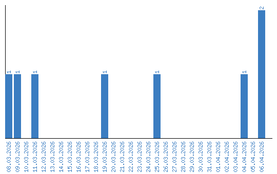
Дынаміка праглядаў па датах