FotobusBusverkehr

Bildinformationen

414 KB


Foto-ID:2545460
Dateigröße:414 KB
Aufgenommen von:Mettal
Veröffentlicht am:20.12.2020 11:37 MSK
Tage seit Veröffentlichung:1922
Aufrufe:259
Kommentare:0

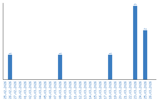
Aufrufestatistik (Tage)