ФотабусАўтобусны транспарт

Iнфармацыя аб малюнку

197 КБ


Ідэнтыфікатар малюнка:253301
Памер файла:197 КБ
Аўтар:Maks
Апублікавана:23.04.2010 22:39 MSK
Знаходзіцца на сайце, дзён:5689
Унікальных праглядаў:194
Каментарыяў:0

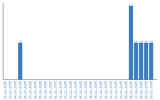
Дынаміка праглядаў па датах