ФотабусАўтобусны транспарт

Iнфармацыя аб малюнку

436 КБ


Ідэнтыфікатар малюнка:2526167
Памер файла:436 КБ
Аўтар:beffan
Апублікавана:09.11.2020 23:33 MSK
Знаходзіцца на сайце, дзён:1793
Унікальных праглядаў:205
Каментарыяў:0

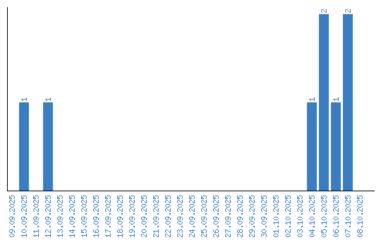
Дынаміка праглядаў па датах