FotobusAutobusų transportas

Nuotraukos informacija

479 KB


Nuotraukos identifikatorius:2517055
Bylos dydis:479 KB
Autorius:Дмитрий Михайлов
Publikuota:24.10.2020 10:12 MSK
Yra tinklapyje dienų:1948
Unikalių peržiūrų:138
Komentarų:0

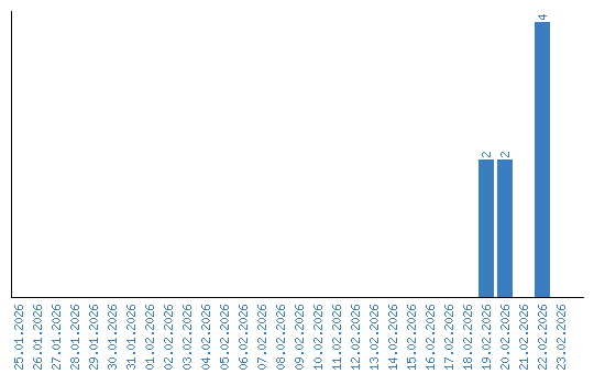
Peržiūrų dinamika pagal dienas