ФотобусАвтобусный транспорт

Информация об изображении

356 КБ


Идентификатор изображения:2512751
Размер файла:356 КБ
Автор:Oleg23145464
Опубликовано:17.10.2020 00:03 MSK
Находится на сайте, дней:1814
Уникальных просмотров:215
Комментариев:0

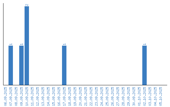
Динамика просмотров по датам