ФотобусАвтобусный транспорт

Информация об изображении

476 КБ


Идентификатор изображения:2509500
Размер файла:476 КБ
Автор:Г. Фропткинг
Опубликовано:12.10.2020 09:04 MSK
Находится на сайте, дней:1988
Уникальных просмотров:227
Комментариев:0

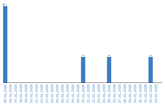
Динамика просмотров по датам